かぶたにえんは仕掛けが多数!

毎月24日のエスパス新宿歌舞伎町は、かぶたにえんで多彩な仕掛けの出現に期待できる1日となります。
また、今月も21~27日は激熱7daysとなり、今回の激熱7daysは4Fが対象に。そしておなじみの日付け末尾もアリ。もちろん全台系や1/2系など王道の仕掛けにも期待できますので、多数のお宝台が出現するでしょう!
まずはギルドの事前ポストをチェック!
4/24🚨傾向🚨
— スロッターギルド (@slotterguild) April 23, 2026
エスパス 新宿 歌舞伎 町
📢毎月「24日」かぶたにえん×21-27WEEK 4日目
📢21-27WEEKはパーフェクトフロアにも注目 !!
📢東京喰種増台&新パネル登場!
📢ヴヴヴ2 10日間オススメ新ポスター登場!
✨過去実績から全台系以外にも・高配分・並び・列・末尾も仕掛けが!?✨… pic.twitter.com/ODA4VZkcq2
下記の過去の仕掛けでは、全台系・1/2系・並びの仕掛けが多数出現しております。激熱7daysの対象フロアがチャンスなのは間違いありませんが、その他のフロアからもしっかり仕掛けは出現しております!


全体差枚は約+8万枚!もうすぐ+10万枚という好結果でした!
それでは、今回の結果をチェックしていきましょう!
かぶぱポストにヒント!
前日の21時頃に配信されるかぶぱポストには高確率で仕掛けのヒントが隠されております。かぶぱポストは毎回チェックしておくことをオススメします!
▼今回のポストはコチラ
#4月24日 こんかぶぱ#おめでとうカブ
— かぶぱ©エスパス 新宿 歌舞伎 町店 (@kabupa777) April 23, 2026
もうすぐでGoldenWeek
連休がはじまる人は
もう予定は立てているカブ?
予定は早めに立てておかないと
全然予約がとれなくなるから
スピードが勝負カブ
国内旅行だったら奈良とか大阪とかへ行って
お城や寺社仏閣巡りもいいし
Bikeでtouringだったり… pic.twitter.com/4VonQjFAsy
ギルドのXでもポストしましたが、今回は下記のヒントを確認できました!
■奈良→生駒市→カバネリ
■お城→甲鉄城→カバネリ(ダブルヒント)
■Bike→バイク→東京リベンジャーズ
今回は上記のヒントを確認でき、いずれも全台系濃厚の結果に。カバネリに関してはダブルヒントという結果に!
かぶぱポストには全台系のヒントが隠されていることが多いため、毎日のポスト内容は要チェックですね!
全台系濃厚の仕掛け!
カバネリ海門決戦 (20/27台+) ➡平均 +3,706枚

L東リベ (4/4台+) ➡平均 +5,075枚

ハピジャグV Ⅲ (7/7台+) ➡平均 +2,686枚

全台系濃厚となったのは上記3機種!ハピジャグと東リベは全台プラスという素晴らしい結果に!さらに多台数設置機種のカバネリ海門も約3/4がプラス!平均差枚も大幅プラスとなりました!
末尾㉔番台(4/9台+)→平均+906枚

恒例の末尾仕掛けからは優秀台を多数確認。注目の新台であるミリオンゴッドは6000枚オーバーと好結果!不発の台もあれど、やはり日付末尾は鉄板と言えるでしょう!
1/2系濃厚の仕掛けも確認!
今回は下記2機種に1/2系濃厚の仕掛けがあった模様です。
Lダンバイン (2/3台+) ➡平均 +1,917枚
キンハナ30 (11/16台+) ➡平均 +1,534枚
L化物語 (6/11台+) ➡平均 +1,236枚
スマスロバジ絆2 (2/3台+) ➡平均 +1,967枚
L攻殻機動隊 (4/6台+) ➡平均 +1,133枚
ドラハナ閃光-30 (9/14台+) ➡平均 +1,032枚
マギレコ (6/13台+) ➡平均 +831枚
沖ドキDUOアンコール (4/7台+) ➡平均 +821枚
ディスクアップ UR (2/3台+) ➡平均 +633枚
各機種の優秀台をピックアップしますので、データを確認してみましょう!


激熱7days対象の4Fからはお宝台続出!
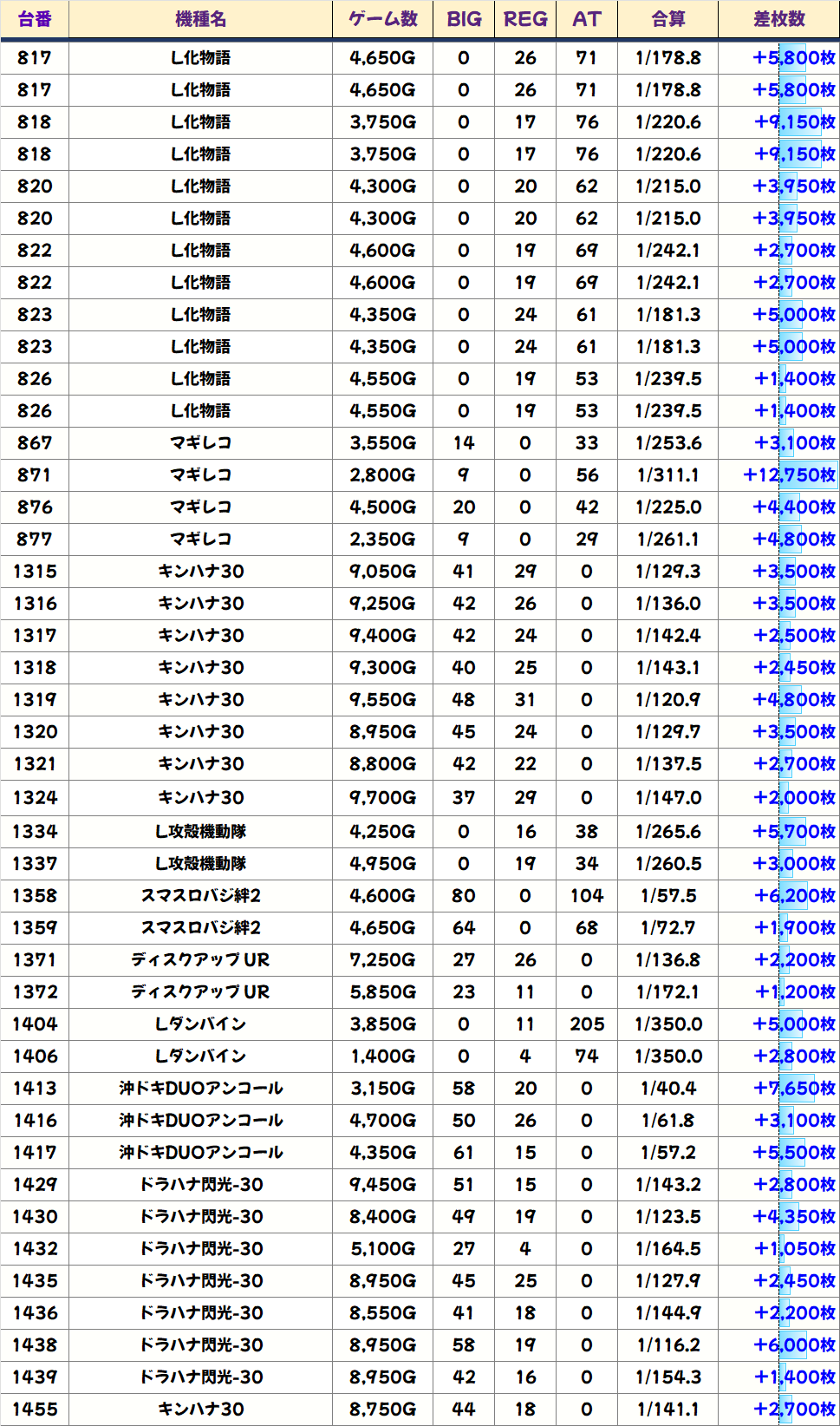
4Fのピックアップ台(46台)


激熱7days4日目は4Fから46台のお宝台が出現!
本日は1/2系濃厚の仕掛けや並び・列仕掛けの機種を中心に、その他機種からもお宝台が多数登場する結果に。平均では+3300枚を超えてきました!
過去の傾向として27日までは対象フロアでのお宝台の大量投入に期待できますので、明日以降は積極的に4Fフロアを狙ってみるのも一つの手段と言えますね。
↓ピックアップ台はコチラで確認できます

優秀な列・並びの仕掛けも多数アリ!
【列仕掛け】1315番台〜1321番台 キングハナハナ▶平均+3,279枚

【3台並び】139番台〜141番台 ミリオンゴッド神々の軌跡▶平均+3,183枚

【3台並び】621番台〜623番台 マイジャグラーV▶平均+1,867枚

【3台並び】665番台〜667番台 ゴッドイーター▶平均+4,183枚

【3台並び】1012番台〜1014番台 マイジャグラーV▶平均+1,333枚

【3台並び】1025番台〜1027番台 マイジャグラーV▶平均+2,333枚

ヴヴヴ2の10日間オススメポスターが登場!

11月の中旬より10日間ポスターが継続して出現しており、今回で17回目の開催となります。
これまでの機種は下記の通り。
・11/11~20…モンキーターンV
・11/21~30…スマスロ北斗
・12/1~10…ヴァルヴレイヴシリーズ
・12/11~20…かぐや様&からくりサーカス
・12/21~27…モンハン&新鬼武者3
・1/1~10…東京喰種
・1/11~20…いざ番長&マギレコ&ゴッドイーター
・1/21~31…秘宝伝&化物語&東リべ
・2/1~10…ゴッドイーター&かぐや様&からくりサーカス
・2/11~20…ヴァルヴレイヴ
・2/21~28…北斗&鉄拳6&マギレコ
・3/1~10…化物語&モンハンライズ&モンキーV
・3/11~20…東京喰種&かぐや様&からくりサーカス
・3/21~31…ヴァルヴレイヴ
・4/1~10…北斗&北斗転生2
・4/11~20…ゴッドイーター&化物語&かぐや様
・4/21~30…ヴァルヴレイヴ2
過去の10日間ポスター期間中は対象機種から毎日優秀台を確認できたため、今回もポスターに書かれている21日~30日までの期間中はヴァルヴレイヴ2が狙い目になる!?
ヴァルヴレイヴ2の優秀台ピックアップ

前日全台系濃厚だったヴヴヴ2。その勢いは衰えず本日も万枚超が2台!9000枚超も2台と大量獲得台が目立つ結果に!!
🔽4/21~の結果🔽




上記以外にも優秀台が多数アリ!

仕掛け箇所以外にもしっかり単品優秀台がアリ!パーフェクトフロア対象の4F以外にも優秀台はあります!
差枚数ランキング&島図をチェック!



