激熱7days×7のつく日!

エスパス新宿歌舞伎町の⑦のつく日は、豪快な全台系や大量の1/2系、並びなどの王道仕掛けに加え、3台以上設置機種からお宝台が出現しやすいという大きな特徴があります!
また、今月も21~27日は激熱7daysとなり、今回は4Fが対象フロアに。
期間中は4Fに多数のお宝台出現に期待できます!そしてお約束の日付け末尾も当然!!!
まずはギルドの事前ポストを確認!
4/27🚨傾向🚨
— スロッターギルド (@slotterguild) April 26, 2026
エスパス 新宿 歌舞伎 町
■7の付く日
■舞歌ちゃん登場!!
■21-27WEEKはパーフェクトフロアにも注目 !!
■ヴヴヴ2 10日間オススメ新ポスター登場!
✅総差枚20万枚OVERも狙える日!!
🎯7のつく日は3台以上機種に
1台以上の優秀台が登場!!
全台系はもちろん高配分に加え… pic.twitter.com/ZspA2WfxVS
全台データ
勝率 46.2% (346/749台)
総差枚 +233,900枚
平均 +312枚
そんな7のつく日の全体データは+23万枚!大幅なプラス差枚となりました!
れでは、今回の結果をチェックしていきましょう!
公式のかぶぱポストにヒントを確認!
前日の21時頃に配信されるかぶぱポストには高確率で仕掛けのヒントが隠されております。かぶぱポストは毎回チェックしておくことをオススメします!
▼今回のポストはコチラ
#4月27日 こんかぶぱ#舞歌ちゃんのエンタメ情報カブ
— かぶぱ©エスパス 新宿 歌舞伎 町店 (@kabupa777) April 26, 2026
こんまいか~☆
森アーツセンターギャラリーでサンリオ展 FINAL ver.
が開始中だヨ☆
今回はサンリオ展史上最大規模の200ものキャラクターが展示に登場!
さらにキャラクターのことをもっと知れる新コンテンツもあるヨ☆… pic.twitter.com/WIMIdnh1c6
ギルドのXでもポストしましたが、今回は下記のヒントを確認できました!
・今回は → コン → キツネ → ミスター
・世界の共通語 → 世界 → このすば
・「ハ」ローキティ → 縦読み「ハナ」 → ハナハナホウオウ
「な」かにあるヨ
・サンリオ → リオ → SBJ
今回は上記の機種が全台系濃厚!かぶぱポストには全台系のヒントが隠されていることが多いため、毎日のポスト内容は要チェックですね!
『激熱7days』は4Fが対象!
今月の『激熱7days』対象フロアは4Fとなっており、最終日となった今回もしっかりお宝台を確認できました!
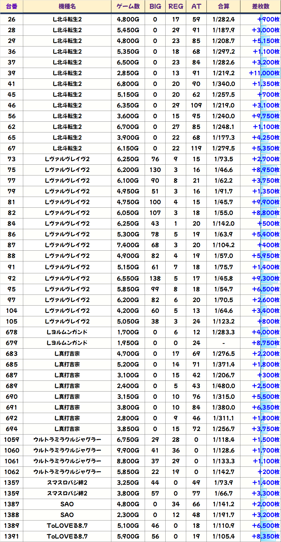
4Fのピックアップ台(43台)


激熱7days最終日は対象フロアの4Fから43台のお宝台を確認!
1週間のお宝台の結果は以下の通り!100万枚に迫るほどの大量出玉を記録しました。
来月以降も激熱7daysでは積極的に対象フロアを狙うべきですね!

↓ピックアップ台はコチラで確認できます

全台系濃厚は4機種!
SBJ (4/4台+) ➡平均 +4,350枚

ミスタージャグラー (6/6台+) ➡平均 +2,542枚

ホウオウ天翔30 (3/3台+) ➡平均 +2,800枚

このすば (3/3台+) ➡平均 +3,067枚

本日の全台系濃厚機種は上記の4機種!このすば・鳳凰はパーフェクトフロアの4Fからの機種。いずれの機種もしっかりと結果を残し、平均差枚もしっかり出ていますね!
1/2系濃厚の仕掛けも大量にアリ!
今回は下記の8機種に1/2系濃厚の仕掛けがあった模様です!
Lヴァルヴレイヴ2 (16/32台+) ➡平均 +902枚
L北斗転生2 (13/32台+) ➡平均 +563枚
L真打吉宗 (8/14台+) ➡平均 +639枚
ウルトラミラクルジャグラー (4/5台+) ➡平均 +600枚
Lヨルムンガンド (2/5台+) ➡平均 +920枚
SAO (2/4台+) ➡平均 +550枚
スマスロバジ絆2 (2/3台+) ➡平均 +1,350枚
ToLOVEる8.7 (2/3台+) ➡平均 +3,483枚
各機種の優秀台をピックアップしますのでデータを確認してみましょう!


ローテフロアの4F設置機種からはもちろんその他フロアにもしっかり仕掛けが入っています!3台以上の設置機種にお宝台がある⑦のつく日ですが、高配分仕掛けも充実しています
並び仕掛けもアリ!
【3台並び】27番台〜29番台 北斗転生2▶平均+2,450枚

【3台並び】665番台〜667番台 ゴッドイーター▶平均+2,533枚

【3台並び】689番台〜691番台 真打 吉宗▶平均+4,783枚

【4台並び】819番台〜822番台 化物語▶平均+4,088枚

【3台並び】1036番台〜1038番台 マイジャグラーV▶平均+2,700枚

【3台並び】1059番台〜1061番台 ウルトラミラクルジャグラー▶平均+1,433枚

【3台並び】1074番台〜1076番台 ネオアイムジャグラーEX▶平均+2,017枚

【3台並び】1090番台〜1092番台 ネオアイムジャグラーEX▶平均+1,667枚

【3台並び】1133番台〜1135番台 マイジャグラーV▶平均+1,967枚

【3台並び】1152番台〜1154番台 ファンキージャグラー2▶平均+2,650枚

【4台並び】1430番台〜1433番台 ドラゴンハナハナ閃光▶平均+2,725枚

恒例の並びはメイン機種やジャグ系を中心に多数用意!並び仕掛けは歌舞伎おなじみの仕掛けですので、出ている台の隣は狙い目となります!びはメイン機種やジャグ系を中心に多数用意!並び仕掛けは歌舞伎おなじみの仕掛けですので、出ている台の隣は狙い目となります!
恒例の日付末尾も!

21-27日は日付末尾の仕掛けが恒例となっています。東京喰種 の3000枚超などもありますが、本日の日付末尾は不発気味な結果に…
ヴヴヴ2の10日間オススメポスターが登場!

11月の中旬より10日間ポスターが継続して出現しており、今回で17回目の開催となります。
これまでの機種は下記の通り。
・11/11~20…モンキーターンV
・11/21~30…スマスロ北斗
・12/1~10…ヴァルヴレイヴシリーズ
・12/11~20…かぐや様&からくりサーカス
・12/21~27…モンハン&新鬼武者3
・1/1~10…東京喰種
・1/11~20…いざ番長&マギレコ&ゴッドイーター
・1/21~31…秘宝伝&化物語&東リべ
・2/1~10…ゴッドイーター&かぐや様&からくりサーカス
・2/11~20…ヴァルヴレイヴ
・2/21~28…北斗&鉄拳6&マギレコ
・3/1~10…化物語&モンハンライズ&モンキーV
・3/11~20…東京喰種&かぐや様&からくりサーカス
・3/21~31…ヴァルヴレイヴ
・4/1~10…北斗&北斗転生2
・4/11~20…ゴッドイーター&化物語&かぐや様
・4/21~30…ヴァルヴレイヴ2
過去の10日間ポスター期間中は対象機種から毎日優秀台を確認できたため、今回もポスターに書かれている21日~30日までの期間中はヴァルヴレイヴ2が狙い目になる!?
ヴァルヴレイヴ2の優秀台ピックアップ

本日高配分機種だったヴヴヴ2。大量獲得台も目立ち、優秀台は13台という結果に!
🔽4/21~の結果🔽







仕掛け以外にも単品が多数アリ


7のつく日ということで、4F以外にも単品優秀台は多数!悪版でも随所にチャンスがあるので、7のつく日はとにかくオススメ!
差枚数ランキング&島図をチェック!



