3の日は沖スロを軸に仕掛け満載

3の日のエスパス新小岩は沖スロを軸とした多彩な仕掛けが魅力。毎回様々なエリアから高配分機種が出現し、単品も幅広く散りばめられているため、悪番でもチャンスがある1日となっています。
1/13(火)🚨傾向🚨
— スロッターギルド (@slotterguild) January 12, 2026
エスパス新小岩/3のつく日
🎁3の日は沖スロ強化が軸!!
🎁全エリア多彩な仕掛けに期待!!
📝3のつく日の傾向📝
📌様々なエリアから高配分機種が出現
🎯沖スロは全台系&1/2系濃厚機種が頻出
✅新台としてニューキンハナVも参戦!!
✅準新台の沖ドキアンコールも要注目!!… pic.twitter.com/fvDiskY0wF
強化傾向のある沖スロはもちろん、主力機・毎日オススメ機種・ジャグといったメインエリアは毎回何らかの仕掛けがあるため、狙いどころは豊富。ノーマルや少台数機種、新台系にも抜かりない仕掛けがあるので見逃せません。
果たして今回はどのような結果になったのか、詳細をみていきましょう。
総差枚は+15万枚オーバー!
今回の結果は総差枚+15万枚オーバー、台平均+339枚とかなり優秀。定番の沖スロ・主力機・毎日オススメ機種・ジャグを中心に幅広く仕掛けが用意され、至るところから優秀台が出現しました。
狙いやすい仕掛けがありつつ、どのエリアにもしっかりチャンスが用意されているため、朝の抽選が悪くても狙える状況になっています。とにかく狙いどころは豊富にあるので、次回以降もぜひ足を運んでみてください。
それでは気になる仕掛けのほうをご覧ください。
沖スロは1/2系以上濃厚機種が複数
キンハナ30☆1/2系濃厚☆

沖ドキゴージャス30☆1/2系濃厚☆

沖ドキアンコール☆1/2系濃厚☆

その他沖スロ☆優秀台☆

沖スロはキンハナ・沖ドキゴージャス・沖ドキアンコールが1/2系濃厚で、いずれも平均+1,000枚オーバーの好成績。準新台が沖ドキアンコールも仕掛けに絡み、多くの優秀台が出現しました。
それ以外の機種にも単品の優秀台が散見され、どの機種も随所で賑わっていました。3の日の沖スロはかなり狙い目なので積極的に狙っていきましょう!
主力機は必ず仕掛けアリ
スマスロモンキーV☆1/2系濃厚☆

いざ!番長☆高配分☆

その他主力機☆優秀台☆

主力機はモンキーVが1/2系濃厚、いざ!番長が高配分と思われる内容。マギレコ・新鬼武者3からも+2,000枚オーバーの優秀台が出現し、今回も全機種に当たりがある状況でした。
毎日オススメ機種も好調機種が続出
かぐや様☆高配分☆

L東京喰種☆高配分☆

ヴヴヴ2☆高配分☆

スマスロ北斗☆優秀台☆

毎日オススメ機種はかぐや様・東京喰種・ヴヴヴ2が高配分に。かぐや様からは2台が万枚突破、東京喰種にも万枚突破台があり、かなり盛り上がっていました。
毎日オススメ機種は連日お宝投入に期待できるので、狙う機種に迷った際はココから攻めることを推奨します。
ジャグはシリーズ全体が優秀

3のつく日はジャグラーシリーズの仕掛けも充実しており、今回も全台系濃厚機種をはじめとした高配分機種が続出。シリーズ総差枚は+6万枚オーバーとなっており、全体的に賑わっていました。
ハピジャグ☆全台系濃厚・4台☆

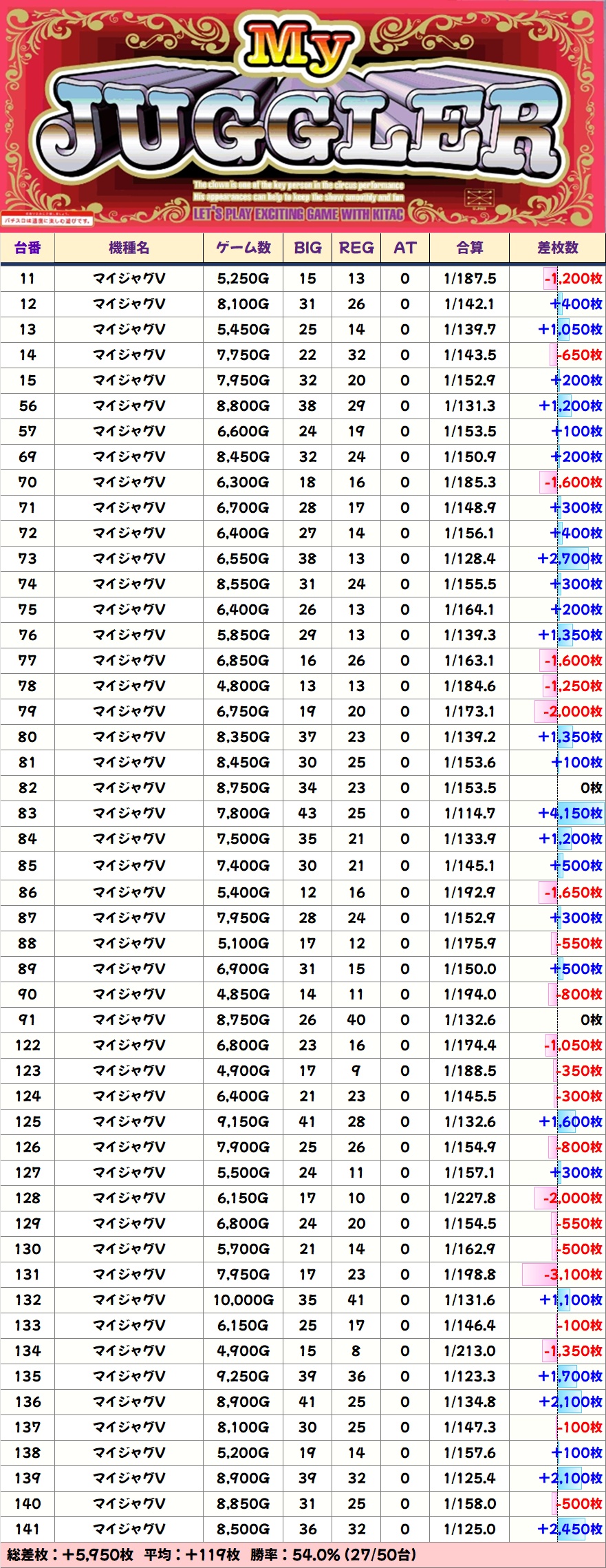
マイジャグV☆高配分☆


ネオアイム☆高配分☆


ファンキー2☆高配分☆

ジャグラーガールズ☆高配分☆

その他ジャグラーシリーズ☆優秀台☆

全台系濃厚のハピジャグは全台プラスで平均+1,750枚という好成績。ほかにもマイジャグV・ネオアイム・ファンキー2・ジャグラーガールズが高配分仕様で、いずれも半数以上がプラスと高勝率になっていました。
多台数のマイジャグやアイム系には列や並びといった塊での仕掛けも頻発しており、この日も優秀台の塊が散見されました。好調台の隣も狙い目になるので、後ヅモを狙う際はシマの状況をしっかりチェックしておきましょう。
ノーマル・BT機・バラにも優秀台を確認

ノーマルではバーサスリヴァから+2,000枚オーバー台が、BT機ではLBクレアの秘宝伝から約+4,000枚の優秀台が出現。バラエティではこのすばが好挙動で+1,000枚オーバーをお持ち帰りしていたりと、抜かりない仕掛けが用意されていました。
その他エリアも優秀機種多数
鉄拳6☆高配分☆

SBJ☆高配分☆

吉宗☆高配分☆

カバネリ☆高配分☆

スマスロ化物語☆高配分☆

その他エリアでは鉄拳6・SBJ・吉宗・カバネリ・スマスロ化物語が好調で、それぞれに大量出玉の優秀台を確認。吉宗とカバネリは全台プラスだったことから、全台系でもおかしくな内容でした。
ほかにも単品たっぷり!

ほかにも新台の北斗転生2を筆頭に単品の優秀台が多数出現。様々な機種から+3,000枚オーバーの優秀台が散見され、1台設置のレビュースタァライトも好調でした。今回も人気機種を中心に幅広くお宝が散りばめられていた様子が窺えました。
差枚数ランキング&島図をチェック

今回は60台以上が+3,000枚オーバー、3台が差枚での万枚突破を記録。沖スロ、主力機、毎日オススメ機種、ジャグ、ノーマル、最新台、少台数機種、バラエティと幅広く仕掛けが用意され、全体的に賑わっていました。
様々な箇所に仕掛けがあるため、朝の抽選番号が悪くてもチャンスがあります。スマスロで打つ台に迷った際は主力機のモンキーV・マギレコ・新鬼武者3・いざ!番長、毎日オススメの北斗・東京喰種・ヴヴヴ2・かぐや様が狙い目ですよ!


