毎月19日は9の日の仕掛けがパワーアップ

9のつく日のエスパス新小岩は沖スロ強化を軸に全エリアの仕掛けが充実。メインどころはもちろん、その他エリアにも抜かりない仕掛けがあるため、どこからでも勝負可能な1日となっています。
また、17~19日は3DAYSとなっており連日お宝大量投入に期待できます。3DAYS3日目の毎月19日は9の日の仕掛け強化が見込めるため、期待度はさらに上昇。これまで以上の仕掛けにも期待が高まります。
3/19(木)🚨傾向🚨
— スロッターギルド (@slotterguild) March 18, 2026
エスパス新小岩/9のつく日×3DAYS
🎀毎月19日は3DAYS3日目!!
🎀9の日の仕掛けがよりパワーアップ!!
📈9のつく日の仕掛け傾向📈
📌全台系濃厚機種など高配分仕掛けが多数出現
👆上記の仕掛けがメインになりそうなので機種単位で狙おう!!… pic.twitter.com/6wztssOhru
真っ先に狙い目となるのは強化傾向のある沖スロや、毎回必ず仕掛けがある主力機・毎日オススメ機種・ジャグといったメインエリア。複数の高配分仕掛けに期待できるだけでなく単品も多めに用意されている傾向があるため、どの機種も積極的に狙う価値のある状況になっています。
もちろん悪番対策も良好なので、その他エリアにもしっかりチャンスが用意されています。悪番でも戦えるのがエスパス新小岩の魅力でもあるので、朝の抽選が悪くても早い段階での諦めは厳禁です。
果たして今回はどのような結果になったのか、さっそく詳細を振り返っていきましょう。
総差枚は驚愕の+23.8万枚!
この日は総差枚+23.8万枚、台平均+500枚オーバーの爆出し。何といっても仕掛け量が非常に多く、至るところから高配分以上の優秀機種が出現しました。まさしく期待に応えてくれた結果と言えるでしょう。
9のつく日のなかでも毎月19日は強力なので、来月以降も乞うご期待!
それでは気になる仕掛けのほうを見ていきましょう。
9の日は沖スロ強し!
沖ドキGOLD30☆高配分☆

沖ドキゴージャス30☆高配分☆

沖ドキアンコール☆高配分☆

キンハナ30☆高配分☆

その他沖スロ☆優秀台☆

今回も沖スロからは高配分機種を複数確認。沖ドキ系では沖ドキGOLD・沖ドキゴージャス・沖ドキアンコールが高配分濃厚で、それぞれ+3,000枚オーバーの大量出玉も出現しました。ハナハナ系ではキンハナが好調で、全体的に稼働良好となっていました。
主力機からは好調機種が続出
スマスロ化物語☆全台系濃厚・8台☆

炎炎ノ消防隊2☆高配分☆

マギレコ☆高配分☆

スマスロモンキーV☆優秀台☆

主力機では化物語が全台系濃厚で平均+3,000枚オーバーの好成績を記録。炎炎ノ消防隊2・マギレコも高配分以上と思われる高勝率となっていたほか、モンキーVからも大量出玉の優秀台が複数出現しました。毎回仕掛けに期待できる主力機ですが、今回は単品も含めかなり多くのお宝が投入されていたようです。
毎日オススメ機種はお宝満載
スマスロ北斗☆高配分☆

L東京喰種☆高配分☆

かぐや様☆高配分☆

その他毎日オススメ機種☆優秀台☆

毎日オススメ機種はスマスロ北斗・東京喰種・かぐや様が高配分に。なかでもかぐや様は6台が+5,000枚オーバーをお持ち帰りしており、平均差枚+3,527枚と特に優秀でした。北斗転生2・ヴヴヴ2にも単品の優秀台があり、こちらも全体的に賑わっていました。
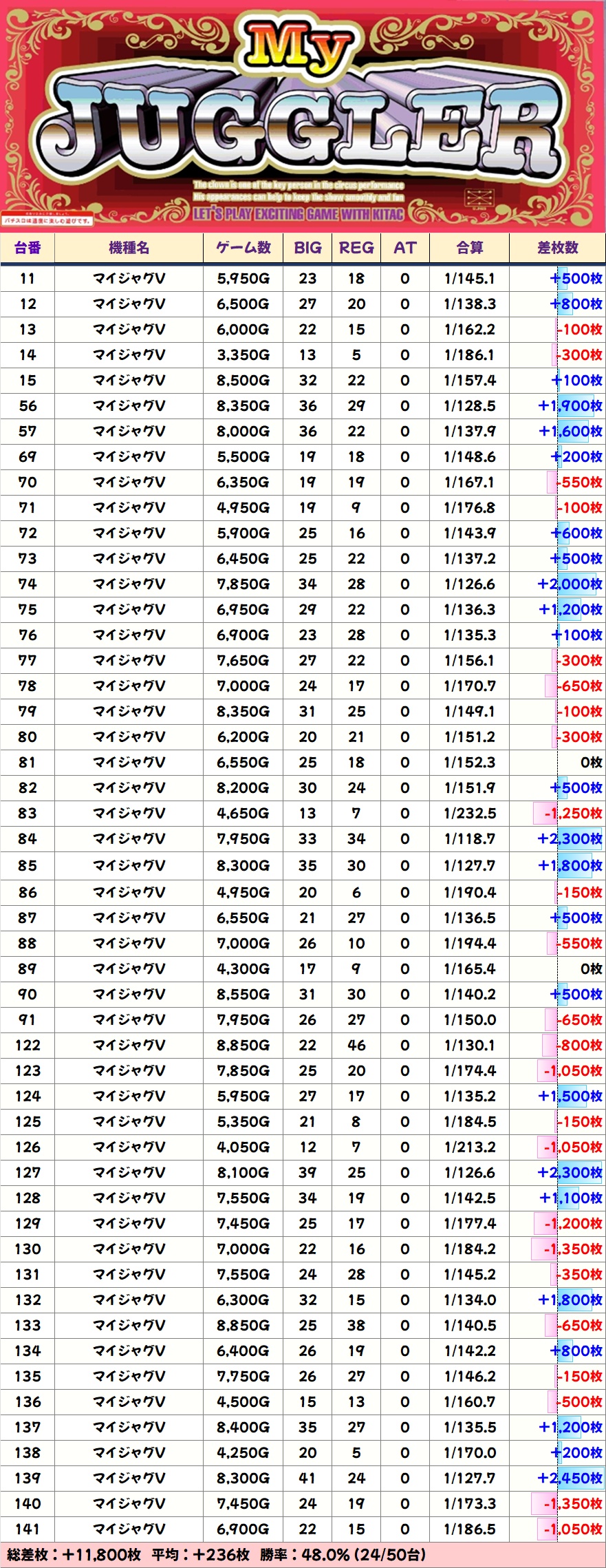
ジャグは高配分機種多数
マイジャグV☆高配分☆


ネオアイム☆高配分☆


ジャグラーガールズ☆高配分☆

ハピジャグ☆高配分☆

ミスジャグ☆高配分☆

ウルトラミラジャグ☆高配分☆

その他ジャグラーシリーズ☆優秀台☆

ジャグラーコーナーからも優秀台が続出。マイジャグV・ネオアイム・ジャグラーガールズ・ハピジャグ・ミスジャグ・ウルトラミラジャグは高勝率で、全体的に高配分だったのではないかと思われる結果でした。
また、多台数のマイジャグV・ネオアイムは並びでボーナス合算良好な箇所が散見されたことから、塊での仕掛けも多分に含まれていたことでしょう。並びや列仕掛けも頻発しているので、好調台を見つけたらその付近の台も要チェック!
ノーマル・BT機にも仕掛けアリ
新ハナビ☆全台系濃厚・4台☆

A-SLOTディスク☆全台系濃厚・2台☆

LBクレアの秘宝伝☆高配分☆

その他ノーマル・BT機☆優秀台☆

ノーマル・BT機コーナーにもバッチリ仕掛けが用意されていました。新ハナビ・A-SLOTディスクは派手な結果ではないものの、全台プラスで全台系濃厚と思われる内容。LBクレアの秘宝伝も高勝率で、ほかにも様々な機種に単品の優秀台が散見されました。
週間オススメ機種も超優秀
新鬼武者3☆全台系濃厚・5台☆

モンハンライズ☆高配分☆

週間オススメ機種の新鬼武者3・モンハンライズも優秀台だらけ。新鬼武者3は全台系濃厚で平均+5,000枚オーバーの好成績。万枚突破台も飛び出し大いに盛り上がっていました。モンハンライズも5台中3台がプラスで平均+1,850枚とガッツリ出ていました。
その他のエリアからも優秀機種が出現
いざ!番長☆全台系濃厚・3台☆

全台系濃厚のいざ!番長は3台全てが大量出玉をお持ち帰りしており、2334番台は万枚オーバーを記録。平均差枚は+7,000枚オーバーという凄まじい結果で、全台“一番上”だった可能性も高そうです。
吉宗☆高配分☆

吉宗は2300番台が+9,900枚、2342番台が+6.900枚をお持ち帰りしたことで、平均+2,710枚という好成績に。こちらは全体的に稼働良好だったので、何かしらの示唆が確認できたなど根拠を持って粘られていたのかもしれません。
からくりサーカス☆高配分☆

からくりサーカスは2311番台が+6,000枚オーバーと優秀。2309番台は+800枚と派手な結果ではないですが、小刻みに初当たりが引けているグラフから高設定らしさが窺えました。
鉄拳6☆高配分☆

鉄拳6は6台中3台がプラスで、2台が+5,000枚オーバーと好調。一撃で出たあとも出玉をキープできたことから、少なくともプラス台は当たりだったのではないでしょうか。
まだまだ単品の優秀台たっぷり

ほかにも至るところで単品の優秀台を確認。東リベには万枚突破台があり、とある超電磁砲2に+9,000枚オーバー台、ゴブスレⅡに+6,000枚オーバー台、L攻殻機動隊に+5,000枚オーバー台があったりと随所で盛り上がりをみせました。
なかでも新台のカバネリ海門決戦からは4台が+4,000枚オーバーと優秀台が続出。新しめの機種も注力されている傾向があるのは嬉しいですね!
差枚数ランキング&島図をチェック

当日は60台以上が+3,000枚オーバーを記録し、そのうち40台以上が+5,000枚オーバー、3台が万枚突破と爆裂台が大量に出現しました。沖スロ・主力機・毎日オススメ機種・ジャグなどのメインどころをはじめ、ノーマル・少台数機種・新台系も充実した仕掛け内容になっていました。
エスパス新小岩は毎回幅広い仕掛けになっているため、悪番でも戦える状況になっています。打つ台に迷った際は特に注力されている主力機のモンキーV・炎炎ノ消防隊2・マギレコ・化物語、毎日オススメのスマスロ北斗・北斗転生2・東京喰種・ヴヴヴ2・かぐや様が狙い目ですよ!


